↩ Index

ZEUS_2021_I1869927

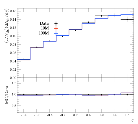
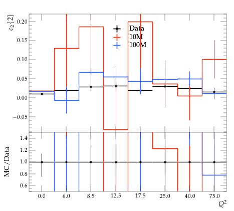
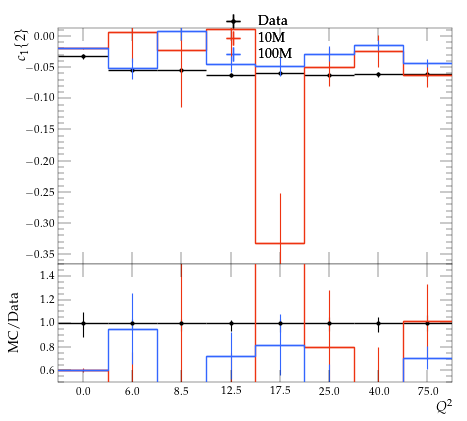
Collective behaviour of final-state hadrons, and multiparton interactions are studied in high-multiplicity ep scattering at a centre-of-mass energy $\sqrt{s} = 318 \mathrm{GeV}$ with the ZEUS detector at HERA. Two- and four-particle azimuthal correlations, as well as multiplicity, transverse momentum, and pseudorapidity distributions for charged-particle multiplicities $N_{\mathrm{ch}} \geq 20$ are measured.

Filter plots:
📊 c12pT1:
📊 c22pT1:
📊 d01-x01-y01:
📊 d02-x01-y01:
📊 d03-x01-y01:
📊 d04-x01-y01:
📊 d05-x01-y01:
📊 d06-x01-y01:
📊 d07-x01-y01:
📊 d08-x01-y01:
📊 d09-x01-y01:
📊 d10-x01-y01:
📊 d11-x01-y01:
📊 d12-x01-y01:
📊 d13-x01-y01:
📊 d14-x01-y01:
📊 d15-x01-y01:
📊 d16-x01-y01:
📊 d17-x01-y01: